Наредба № РД-07-3 за минималните изисквания за микроклимата на работните места
Отговор, предоставен отPortalTRZnormativi.bg
Чл. 1. С тази наредба се определят:
1. граничните стойности на параметрите на микроклимата на работни места в сгради: температура, влажност и скорост на движение на въздуха и топлинно облъчване;
2. минималните изисквания за защита на работещите от рискове за здравето и безопасността, причинени от параметрите на микроклимата на работни места в сгради и от неблагоприятни климатични условия при работа на открито.
Чл. 2. (1) Наредбата се прилага във всички предприятия и места, където се осъществява трудова дейност по чл. 2 от Закона за здравословни и безопасни условия на труд, когато работещите са изложени на въздействието на параметрите на микроклимата при работа или на неблагоприятни климатични въздействия при работа на открито.
(2) Когато с друг нормативен акт са определени специфични гранични стойности и изисквания за температура, влажност, скорост на движение на въздуха и топлинно облъчване, се прилагат специфичните гранични стойности и изисквания.
(3) Граничните стойности по тази наредба не се прилагат за работни места в сгради, предназначени за отглеждане на птици и животни, за съхраняване на селскостопанска продукция, за хладилни помещения и за подземни рудници.
Чл. 3. Работодателят е длъжен да се консултира с работещите и/или техните представители и да създава условия за тяхното участие по всички въпроси, свързани с прилагането на наредбата, в съответствие със Закона за здравословни и безопасни условия на труд.
Чл. 4. (1) Параметрите на микроклимата на работните места в сгради трябва да отговарят на оптималните или допустимите гранични стойности.
(2) Оптималните гранични стойности зависят от периода на годината и категорията на работата. Те се прилагат при климатизирани производствени помещения и за постоянни работни места в климатизирани кабини за управление и контрол.
(3) Допустимите гранични стойности зависят от периода на годината, категорията на работата и вида на работното място. Те се прилагат в случаите, когато поради технически или технологични причини не е възможно да се осигури спазване на оптималните гранични стойности.
(4) За топлинното облъчване се прилага допустимата гранична стойност.
Чл. 5. (1) Оптималните гранични стойности за температура на въздуха се определят с минимални и максимални стойности и са:
1. през студения период на годината в интервала:
а) от 20 до 23 °C – за лека физическа работа;
б) от 17 до 20 °C – за средно тежка физическа работа;
в) от 16 до 18 °C – за тежка физическа работа;
2. през топлия период на годината в интервала:
а) от 22 до 25 °C – за лека физическа работа;
б) от 20 до 23 °C – за средно тежка физическа работа;
в) от 18 до 21 °C – за тежка физическа работа.
(2) Оптималните гранични стойности за скорост на движение на въздуха:
1. през студения период на годината са:
а) до 0,2 m/s – за лека физическа работа;
б) до 0,3 m/s – за средно тежка физическа работа;
в) до 0,3 m/s – за тежка физическа работа;
2. през топлия период на годината са:
а) до 0,2 m/s – за лека физическа работа;
б) до 0,4 m/s – за средно тежка физическа работа;
в) до 0,5 m/s – за тежка физическа работа.
(3) Оптималните гранични стойности за относителна влажност на въздуха са в интервала от 40 % до 60 %.
Чл. 6. Допустимите гранични стойности за температура на въздуха за студения период на годината се определят с минимални и максимални стойности и са:
1. на постоянни работни места в интервала:
а) от 18 до 25 °C – за лека физическа работа;
б) от 15 до 23 °C – за средно тежка физическа работа;
в) от 13 до 19 °C – за тежка физическа работа;
2. на непостоянни работни места в интервала:
а) от 15 до 26 °C – за лека физическа работа;
б) от 13 до 24 °C – за средно тежка физическа работа;
в) от 12 до 19 °C – за тежка физическа работа.
Чл. 7. Допустимите гранични стойности за температура на въздуха за топлия период на годината се определят с минимални и максимални стойности.
Чл. 8. (1) Максималната гранична стойност на температурата на въздуха на постоянни работни места е:
1. не по-висока от 28 °C – за лека и средно тежка физическа работа;
2. не по-висока от 26 °C – за тежка физическа работа.
(2) Когато на работни места в сгради се извършва лека и средно тежка физическа работа и температурата на външния въздух в 14 ч. през топлия период на годината превишава 25 °C, както и когато на работни места в сгради се извършва тежка физическа работа и температурата на външния въздух в 14 ч. през топлия период на годината превишава 23 °C, максималните гранични стойности за температурата на въздуха на постоянни работни места по ал. 1 се повишават, както следва:
1. в помещения с незначително топлинно натоварване – с 3 °C, но не повече от 31 °C за лека и средно тежка физическа работа, и 29 °C за тежка физическа работа;
2. в помещения със значително топлинно натоварване – с 5 °С, но не повече от 33 °С за лека и средно тежка физическа работа, и 31 °С за тежка физическа работа;
3. в помещения, в които технологичния процес изисква изкуствено поддържане на температурата и влажността на въздуха – с 2 °С, но не повече от 30 °С.
(3) Максималната гранична стойност на температурата на въздуха на непостоянни работни места през топлия период е равна на:
1. температурата на външния въздух в 14 ч., превишена с не повече от 3 °C за помещения с незначително топлинно натоварване;
2. температурата на външния въздух в 14 ч., превишена с не повече от 5 °C за помещения със значително топлинно натоварване.
Чл. 9. Минималните гранични стойности на температурата на въздуха на работните места през топлия период на годината са равни на съответните минимални стойности на допустимите норми за студения период на годината съгласно чл. 6.
Чл. 10. Допустимите гранични стойности за температура на въздуха на непостоянни работни места съгласно чл. 6, т. 2 и чл. 8, ал. 3 не се прилагат за работни помещения с подова площ на един работник над 50 m2.
Чл. 11. (1) Допустимите гранични стойности за скорост на движение на въздуха на постоянни работни места през студения период на годината са:
1. до 0,2 m/s – за лека физическа работа;
2. до 0,4 m/s – за средно тежка физическа работа;
3. до 0,5 m/s – за тежка физическа работа.
(2) Допустимите гранични стойности за скорост на движение на въздуха на постоянни работни места през топлия период на годината:
1. в помещения с незначително топлинно натоварване са:
а) до 0,5 m/s – за лека и средно тежка физическа работа;
б) до 0,7 m/s – за тежка физическа работа;
2. в помещения със значително топлинно натоварване са:
а) до 0,5 m/s – за лека и средно тежка физическа работа;
б) до 1,0 m/s – за тежка физическа работа.
Чл. 12. (1) Допустимите гранични стойности за относителна влажност на въздуха на постоянни работни места през студения период на годината са в интервала от 30 % до 75 %.
(2) Допустимите гранични стойности за относителна влажност на въздуха на постоянни работни места през топлия период на годината са:
1. от 30 до 55 % – при температура на въздуха в помещението t > 28 °С;
2. от 30 до 60 % – при температура на въздуха в помещението 26°С < t ≤ 28 °С;
3. от 30 до 65 % – при температура на въздуха в помещението 25°С < t ≤ 26 °С;
4. от 30 до 70 % – при температура на въздуха в помещението 24 °С < t ≤ 25 °С;
5. от 30 до 75 % – при температура на въздуха в помещението t ≤ 24 °С.
(3) При абсолютна влажност на външния въздух над 12 g/kg се допуска превишаване на горните граници на допустимите гранични стойности по ал. 2 с не повече от 15 %.
(4) На постоянни работни места в помещения със значително отделяне на влага се допуска през топлия период на годината повишаване на допустимата относителна влажност на въздуха до 75 %. Температурата на въздуха на тези работни места не трябва да превишава 28 °С за работа с лека и средна тежест и 26 °С за тежка работа независимо от температурата на външния въздух.
Чл. 13. (1) Допустимата гранична стойност за плътност на потока на топлинно облъчване за постоянни работни места е 350 W/m2.
(2) Допуска се пребиваване в работните зони на непостоянни работни места с топлинно облъчване с плътност на потока над 350 W/m2само при задължително използване на средства за колективна защита или лични предпазни средства за защита от инфрачервено лъчение.
Чл. 14. (1) Работодателят е длъжен да оцени риска за здравето и безопасността на работещите от параметрите на микроклимата на работни места в сгради или от неблагоприятните климатични въздействия при работа на открито и когато е необходимо, да направи съответните измервания. Необходимостта от измервания се определя след консултации с представителите на работниците и служителите по чл. 7, ал. 2 от Кодекса на труда и с комитета/групата по условия на труд.
(2) Рискът за здравето и безопасността на работещите се оценява съгласно Наредба № 5 от 1999 г. за реда, начина и периодичността на извършване на оценка на риска (ДВ, бр. 47 от 1999 г.).
(3) Необходимите измервания на параметрите на микроклимата на работни места в сгради се извършват по реда на чл. 217 от Наредба № 7 от 1999 г. за минималните изисквания за здравословни и безопасни условия на труд на работните места и при използване на работното оборудване (ДВ, бр. 88 от 1999 г.; изм., бр. 48 от 2000 г., бр. 52 от 2001 г.; изм. и доп., бр. 43 от 2003 г.; изм., бр. 37 от 2004 г.; изм. и доп., бр. 88 от 2004 г., бр. 40 от 2008 г. и бр. 24 от 2013 г.).
(4) Методите и апаратурата, които се използват за измерване нивата на параметрите на микроклимата на работните места в сгради, трябва:
1. да отговарят на техническите и метрологичните изисквания към тях съгласно Закона за измерванията;
2. да осигуряват измерване на параметрите на микроклимата в обхват, посочен в инструкциите на производителя и включващ оптималните и допустимите норми;
3. да отговарят на определените от производителя условия за използване, вкл. климатичните, механичните и електромагнитните, както и на изискванията за пожаро- и взривоопасност в съответствие с класа на функционална пожарна опасност на сградата или на части от нея.
Чл. 15. (1) Измерванията на температурата, влажността и скоростта на движение на въздуха на работните места се извършват най-малко в два последователни дни съответно през топлия и през студения период на годината.
(2) Допуска се измерванията по ал. 1 да се извършват в един ден, но при най-неблагоприятни микроклиматични условия, когато:
1. спецификата на производствения процес или режимът на работа не позволяват измерванията да се извършат в два последователни дни;
2. при обичайните работни условия и организация на производствения процес не се очаква промяна на параметрите на микроклимата в два последователни дни.
(3) Работните места в дадено работно помещение, в което ще се извършват измерванията по ал. 1, се определят в зависимост от типа на оборудването и разположението на работните места спрямо преградните стени на помещението (прозорци, врати и др.), както и спрямо източниците на топлина, влага и въздушни течения в помещението.
(4) Когато работните места не са с еднотипно оборудване и не са с едно и също разположение спрямо преградните стени на помещението и източниците на топлина, влага и въздушни течения, измерванията се извършват за всяко работно място поотделно.
(5) Когато работните помещения са с еднакво изложение, а работни места в тях са с еднотипно оборудване и с едно и също разположение спрямо преградните стени на помещението и източниците на топлина, влага и въздушни течения, измерванията могат да се извършват само в едно от тези работни помещения/места, като резултатите от измерванията се приемат за валидни за всички работни помещения/места от същия тип.
Чл. 16. (1) Измерванията на всеки от параметрите – температура, влажност и скорост на движение на въздуха, на определените постоянни и непостоянни работни места се извършват през равни интервали от време в зависимост от характера на работния процес или от особеностите на работното място, като интервалът между първото и последното измерване за деня не трябва да бъде по-малък от половината от установената продължителност на работното време, а броят им най-малко 3.
(2) Измерванията по ал. 1 през топлия и студения период на годината се извършват така, че да се обхванат най-неблагоприятните микроклиматични условия. Тези условия се определят след консултации с представителите на работниците и служителите по чл. 7, ал. 2 от Кодекса на труда и с комитета/групата по условия на труд.
(3) За определяне на максималните гранични стойности на температурата през топлия период на годината се провежда и допълнително измерване на температурата на външния въздух в 14.00 h в точка, разположена на сянка откъм подветрената страна на сградата, на разстояние не по-малко от 2 m от нея и на височина 1,50 m от земната повърхност.
Чл. 17. (1) Измерване на плътността на потока на топлинно облъчване се извършва само когато в работното помещение има източници на явна топлина.
(2) Измерването на плътността на потока на топлинно облъчване се извършва на три нива, съответстващи приблизително на главата, гърдите и коленете на работника или служителя, като обхваща периода от работната смяна (работния ден), в които се достига максимално топлинно облъчване на работното място.
(3) Датчикът на уреда за измерване трябва да се разполага на работното място (точката на измерване) и да бъде ориентиран към източника на топлинно излъчване с оглед получаване на максимални показания на уреда.
(4) За краен резултат от измерването на плътността на потока на топлинно облъчване на определеното работно място се приема най-голямата стойност, получена чрез осредняване на резултатите от измерванията на трите нива.
Чл. 18. (1) Резултатите от измерванията на параметрите на микроклимата на работни места се изчисляват поотделно за всяко определено за измерване работно място.
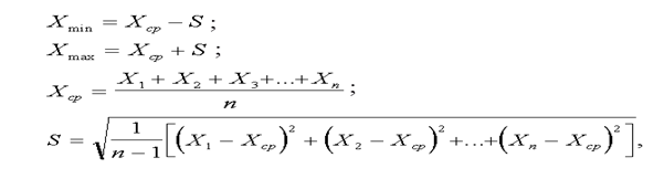
(2) Окончателните резултати за стойностите на температурата (t), относителната влажност (φ) и скоростта на движение на въздуха (v) се определят по формулите:

където X1, X2......., Xn са измерените стойности на съответния параметър;
Xmin – минималната гранична стойност на параметъра X;
Xmax – максималната гранична стойност на параметъра X;
n – общият брой на измерванията на съответния параметър (температура, относителна влажност и скорост на движение на въздуха), извършени на определеното за измерване работно място за съответния период на годината;
S – средното квадратично отклонение на съответния параметър.
(3) Получените съгласно ал. 2 интервали (tmin; tmax), (φmin; φmax) и (vmin; vmax) са окончателните резултати от измерванията.
(4) Окончателните резултати от измерванията се сравняват поотделно с оптималните или допустимите гранични стойности, определени в раздел II, за всяко определено за измерване работно място и период на годината.
(5) Температурата, относителната влажност и скоростта на движение на въздуха на дадено работно място за определен период на годината отговарят на граничните стойности за микроклимат на работното място, когато окончателните резултати от измерванията по ал. 3 и на трите параметъра отговарят на съответните оптимални или допустими гранични стойности, определени в раздел II.
(6) Плътността на потока на топлинно облъчване отговаря на граничните стойности за микроклимат на работното място, когато стойността съгласно чл. 17, ал. 4 е по-малка от допустимата норма съгласно чл. 13, ал. 1.
Чл. 19. За резултатите от измерванията се съставя протокол, който съдържа данни за:
1. името на предприятието;
2. характеристиките на работния процес;
3. категорията на работата;
4. организацията на работното време – нормална продължителност на работното време, намалено или непълно работно време, работа на смени, в т.ч. непрекъсваем процес на работа;
5. основните професии, общия брой работни места и броя на изследваните работни места по професии;
6. източниците на явна топлина и на значително отделяне на влага – свързани и несвързани с технологичния процес;
7. отоплителните, вентилационните и климатичните съоръжения;
8. дата и час на извършените измервания, вкл. данни за температурата на външния въздух съгласно чл. 16, ал. 3, и за абсолютната влажност;
9. типа и идентификационния номер на използваните средства за измерване;
10. окончателните резултати от измерванията съгласно чл. 17, ал. 4 и чл. 18, ал. 3;
11. оптималните и/или допустимите гранични стойности по работни места съгласно раздел II;
12. оценка за съответствието на окончателните резултати от измерванията с оптималните или допустимите гранични стойности съгласно чл. 18, ал. 5 и 6;
13. дата, имена и подписи на длъжностните лица, участвали в измерванията.
Чл. 20. (1) При оценяването на риска от параметрите на микроклимата на работни места в сгради се отделя специално внимание на:
1. съответствието на окончателните резултати от измерванията с оптималните или допустимите гранични стойности на параметрите на микроклимата;
2. броя на работните места и типа на работното оборудване в работното помещение, вкл. тяхното разположение спрямо преградните стени на помещението и източниците на топлина, влага и въздушни течения;
3. всеки ефект върху здравето и безопасността на работещите, който е резултат от взаимодействието между отделните параметри на микроклимата;
4. всеки ефект за здравето и безопасността за работещи, които се нуждаят от специална закрила, вкл. и тези с ограничена работоспособност, нарушена терморегулация, бременни жени и кърмачки, трудоустроени работещи и др.;
5. всяко въздействие върху здравето и безопасността на работещия, произтичащо от категорията работа;
6. потенциалното въздействие на източниците на топлина и влага – свързани и несвързани с технологичния процес върху параметрите на микроклимата;
7. информацията от производителите за техническите параметри на отоплителните, вентилационните и климатичните съоръжения;
8. информацията за топлинно излъчване, предоставена от производителите на работното оборудване, в съответствие с изискванията на Закона за техническите изисквания към продуктите и подзаконовите нормативни актове към него;
9. наличието на лични предпазни средства, в т. ч. специално работно облекло за защита на работещите от въздействието на параметрите на микроклимата на работни места в сгради.
(2) Оценката на риска от неблагоприятните климатични въздействия върху здравето и безопасността на работещите при работа на открито се извършва, като се вземат предвид рисковете от температура, слънчева радиация, валежи, мъгли и вятър, като се отделя специално внимание на тяхното комбинирано въздействие, както и на:
1. категорията на работата;
2. наличието на лични предпазни средства, в т. ч. специално работно облекло с подходящи характеристики за намаляване на риска;
3. необходимостта от лични предпазни средства, в т. ч. специално работно облекло за защита от други фактори на работната среда, използването на които може да наруши нормалната адаптация на организма към климатичните условия;
4. наличието на места за почивка с подходящи условия за възстановяване на топлинния баланс на организма.
(3) Оценката на риска се документира и преразглежда по реда на наредбата по чл. 14, ал. 2, както и въз основа на резултатите от здравното наблюдение на работещите.
Чл. 21. (1) Работодателят е длъжен да разработи и приложи технически и/или организационни мерки за защита на работещите, когато:
1. при оценката на риска по чл. 20, ал. 1 се установи, че резултатите от измерванията на параметрите на микроклимата не съответстват на установените оптимални или допустими гранични стойности;
2. при оценката на риска по чл. 20, ал. 2 се установи, че съществува риск от слънчев/топлинен удар, преохлаждане и измръзване и др.
(2) Мерките по ал. 1 могат да включват:
1. други методи на работа, при които отделяните топлина, влага и въздушни течения са с по-ниски нива;
2. избор на подходящо работно оборудване, излъчващо възможно най-малко топлина, вкл. осигуряване на работно оборудване, произведено съгласно изискванията на Закона за техническите изисквания към продуктите, с оглед ограничаване на топлинното излъчване;
3. създаване на подходяща организация на работния процес и/или работното време, вкл. осигуряване на почивки с подходяща честота и продължителност;
4. създаване на подходяща организация на работните места;
5. осигуряване на колективни средства за защита:
а) от неблагоприятно въздействие на параметрите на микроклимата, като климатизация, вентилация, защитни прегради, изолации, екрани и др.;
б) при работа на открито, особено по отношение на риска от слънчев/топлинен удар, преохлаждане, измръзване и др.;
6. осигуряване на подходящи лични предпазни средства, в т.ч. специално работно облекло съгласно Наредба № 3 от 2001 г. за минималните изисквания за безопасност и опазване на здравето на работещите при използване на лични предпазни средства на работното място (обн., ДВ, бр. 46 от 2001 г.; изм. и доп., бр. 40 от 2008 г.);
7. осигуряване на подходящо работно облекло съгласно Наредбата за безплатното работно и униформено облекло, приета с ПМС № 10 от 2011 г. (ДВ, бр. 9 от 2011 г.);
8. осигуряване на места за почивка с подходящи условия за възстановяване на топлинния баланс на организма;
9. достатъчно количество питейна вода, както и топли и студени напитки и други течности за възстановяване на водно-солевия и топлинния баланс на организма;
10. осигуряване на наблюдение или средства за комуникация за работещите на открито на изолирани работни места;
11. осигуряване на долекарска и първа медицинска помощ, както и подходящо транспортиране на работещите с внезапно влошено здравословно състояние за оказване на медицинска помощ.
(3) Когато рискът за здравето и безопасността на работещите не може да бъде предотвратен чрез мерките по ал. 2, работодателят разработва и въвежда физиологични режими на труд и почивка по време на работа съгласно Наредба № 15 от 1999 г. за условията, реда и изискванията за разработване и въвеждане на физиологични режими на труд и почивка по време на работа (ДВ, бр. 54 от 1999 г.).
Чл. 22. (1) Работата на открито се преустановява при опасно ниски или високи температури, гръмотевични бури, обилен валеж, силен вятър и гъста мъгла, определени с код „оранжево“ или „червено“ от Националния институт по метеорология и хидрология, ако създават заплаха за живота и здравето на работещите и за безопасното изпълнение на трудовата дейност.
(2) Работата на открито при условията на ал. 1 може да не се преустанови по изключение само в следните случаи:
1. за извършване на работа във връзка с отбраната на страната;
2. за предотвратяване на бедствия и аварии и за овладяване и преодоляване на последиците от тях;
3. за извършване на неотложни обществено необходими работи по възстановяване на водоснабдяването, електроснабдяването, отоплението, канализацията, транспорта и съобщителните връзки и оказване на медицинска помощ.
Допълнителна разпоредба
1. По смисъла на тази наредба:
1. „Постоянно работно място“ е мястото, където се предвижда извършването на работата в помещения или на което и да е място на територията на предприятието, или до което работещият има достъп във връзка с изпълняваната работа за повече от половината от законоустановеното работно време.
2. „Помещения с незначително топлинно натоварване“ са помещенията, в които остатъчното количество явна топлина не е по-голямо от 23 W/m-3.
3. „Помещения със значително топлинно натоварване“ са помещенията, в които остатъчното количество явна топлина е по-голямо от 23 W/m-3.
4. „Климатизирано помещение“ е помещение, в което климатичната инсталация е проектирана за централизирано поддържане на температурата и влажността на въздуха. Помещениe, в коeто параметрите на микроклимата са определени от личния избор на работещите, не може да се счита за климатизирано и за него не се прилагат оптималните гранични стойности.
5. „Източници на явна топлина“ са производствени технологични съоръжения (всички видове пещи, сушилни агрегати, нагревни котли, фурни и др.), нагрети материали (разтопен и разкален метал, нагрети материали и детайли), инсталации, пренасящи нагрят флуид, и други източници, които влияят върху температурата на помещението. Инсталациите и монтираните отоплителни тела за осигуряване на параметрите на микроклимата в работните помещения не са източници на явна топлина.
6. „Категория на работата“ е работа според степента на физическото натоварване на организма:
а) „лека физическа работа“ е работата, която се извършва в седнало положение, в стоящо положение или в движение, но не изисква системно физическо напрежение или повдигане и пренасяне на тежести при енергоразход до 210 W;
б) „средно тежка физическа работа“ е работата, свързана с постоянно ходене, пренасяне на неголеми тежести (до 10 kg) и дейности, които се извършват непрекъснато в стоящо положение при енергоразход от 210 W до 350 W;
в) „тежка физическа работа“ е работата, свързана със системно физическо натоварване, с постоянно придвижване и пренасяне на значителни (повече от 10 kg) тежести при енергоразход над 350 W.
7. „Топъл период“ е периодът от годината, който се характеризира със средноденонощна температура на външния въздух 10 °С и повече.
8. „Студен период“ е периодът от годината, който се характеризира със средноденонощна температура на външния въздух, по-ниска от 10 °С.
Преходни и заключителни разпоредби
§ 2. Протоколите за резултатите от измерванията на параметрите на микроклимата на работни места в сгради, съставени в съответствие с БДС 14776-87 Охрана на труда. Работни места в производствени помещения. Санитарно-хигиенни норми за температура, относителна влажност, скорост на въздуха и топлинно облъчване и БДС 16686-87 Охрана на труда. Методи за измерване на температурата, относителната влажност и скоростта на движение на въздуха в работните помещения на сградите от звена и специалисти на работодателя и/или от лица, акредитирани от Изпълнителна агенция „Българска служба за акредитация“, важат, доколкото не противоречат на нормите в тази наредба.
§ 3. Наредбата се издава на основание чл. 36, т. 2 от Закона за здравословни и безопасни условия на труд.
§ 4. Наредбата влиза в сила три месеца след обнародването й в „Държавен вестник“.
Министър на труда и социалната политика: Хасан Адемов
Министър на здравеопазването: Таня Андреева
източник: mlsp.government.bg
1. граничните стойности на параметрите на микроклимата на работни места в сгради: температура, влажност и скорост на движение на въздуха и топлинно облъчване;
2. минималните изисквания за защита на работещите от рискове за здравето и безопасността, причинени от параметрите на микроклимата на работни места в сгради и от неблагоприятни климатични условия при работа на открито.
Чл. 2. (1) Наредбата се прилага във всички предприятия и места, където се осъществява трудова дейност по чл. 2 от Закона за здравословни и безопасни условия на труд, когато работещите са изложени на въздействието на параметрите на микроклимата при работа или на неблагоприятни климатични въздействия при работа на открито.
(2) Когато с друг нормативен акт са определени специфични гранични стойности и изисквания за температура, влажност, скорост на движение на въздуха и топлинно облъчване, се прилагат специфичните гранични стойности и изисквания.
(3) Граничните стойности по тази наредба не се прилагат за работни места в сгради, предназначени за отглеждане на птици и животни, за съхраняване на селскостопанска продукция, за хладилни помещения и за подземни рудници.
Чл. 3. Работодателят е длъжен да се консултира с работещите и/или техните представители и да създава условия за тяхното участие по всички въпроси, свързани с прилагането на наредбата, в съответствие със Закона за здравословни и безопасни условия на труд.
Раздел II
Гранични стойности на параметрите на микроклимата на работни места в сгради
Гранични стойности на параметрите на микроклимата на работни места в сгради
Чл. 4. (1) Параметрите на микроклимата на работните места в сгради трябва да отговарят на оптималните или допустимите гранични стойности.
(2) Оптималните гранични стойности зависят от периода на годината и категорията на работата. Те се прилагат при климатизирани производствени помещения и за постоянни работни места в климатизирани кабини за управление и контрол.
(3) Допустимите гранични стойности зависят от периода на годината, категорията на работата и вида на работното място. Те се прилагат в случаите, когато поради технически или технологични причини не е възможно да се осигури спазване на оптималните гранични стойности.
(4) За топлинното облъчване се прилага допустимата гранична стойност.
Чл. 5. (1) Оптималните гранични стойности за температура на въздуха се определят с минимални и максимални стойности и са:
1. през студения период на годината в интервала:
а) от 20 до 23 °C – за лека физическа работа;
б) от 17 до 20 °C – за средно тежка физическа работа;
в) от 16 до 18 °C – за тежка физическа работа;
2. през топлия период на годината в интервала:
а) от 22 до 25 °C – за лека физическа работа;
б) от 20 до 23 °C – за средно тежка физическа работа;
в) от 18 до 21 °C – за тежка физическа работа.
(2) Оптималните гранични стойности за скорост на движение на въздуха:
1. през студения период на годината са:
а) до 0,2 m/s – за лека физическа работа;
б) до 0,3 m/s – за средно тежка физическа работа;
в) до 0,3 m/s – за тежка физическа работа;
2. през топлия период на годината са:
а) до 0,2 m/s – за лека физическа работа;
б) до 0,4 m/s – за средно тежка физическа работа;
в) до 0,5 m/s – за тежка физическа работа.
(3) Оптималните гранични стойности за относителна влажност на въздуха са в интервала от 40 % до 60 %.
Чл. 6. Допустимите гранични стойности за температура на въздуха за студения период на годината се определят с минимални и максимални стойности и са:
1. на постоянни работни места в интервала:
а) от 18 до 25 °C – за лека физическа работа;
б) от 15 до 23 °C – за средно тежка физическа работа;
в) от 13 до 19 °C – за тежка физическа работа;
2. на непостоянни работни места в интервала:
а) от 15 до 26 °C – за лека физическа работа;
б) от 13 до 24 °C – за средно тежка физическа работа;
в) от 12 до 19 °C – за тежка физическа работа.
Чл. 7. Допустимите гранични стойности за температура на въздуха за топлия период на годината се определят с минимални и максимални стойности.
Чл. 8. (1) Максималната гранична стойност на температурата на въздуха на постоянни работни места е:
1. не по-висока от 28 °C – за лека и средно тежка физическа работа;
2. не по-висока от 26 °C – за тежка физическа работа.
(2) Когато на работни места в сгради се извършва лека и средно тежка физическа работа и температурата на външния въздух в 14 ч. през топлия период на годината превишава 25 °C, както и когато на работни места в сгради се извършва тежка физическа работа и температурата на външния въздух в 14 ч. през топлия период на годината превишава 23 °C, максималните гранични стойности за температурата на въздуха на постоянни работни места по ал. 1 се повишават, както следва:
1. в помещения с незначително топлинно натоварване – с 3 °C, но не повече от 31 °C за лека и средно тежка физическа работа, и 29 °C за тежка физическа работа;
2. в помещения със значително топлинно натоварване – с 5 °С, но не повече от 33 °С за лека и средно тежка физическа работа, и 31 °С за тежка физическа работа;
3. в помещения, в които технологичния процес изисква изкуствено поддържане на температурата и влажността на въздуха – с 2 °С, но не повече от 30 °С.
(3) Максималната гранична стойност на температурата на въздуха на непостоянни работни места през топлия период е равна на:
1. температурата на външния въздух в 14 ч., превишена с не повече от 3 °C за помещения с незначително топлинно натоварване;
2. температурата на външния въздух в 14 ч., превишена с не повече от 5 °C за помещения със значително топлинно натоварване.
Чл. 9. Минималните гранични стойности на температурата на въздуха на работните места през топлия период на годината са равни на съответните минимални стойности на допустимите норми за студения период на годината съгласно чл. 6.
Чл. 10. Допустимите гранични стойности за температура на въздуха на непостоянни работни места съгласно чл. 6, т. 2 и чл. 8, ал. 3 не се прилагат за работни помещения с подова площ на един работник над 50 m2.
Чл. 11. (1) Допустимите гранични стойности за скорост на движение на въздуха на постоянни работни места през студения период на годината са:
1. до 0,2 m/s – за лека физическа работа;
2. до 0,4 m/s – за средно тежка физическа работа;
3. до 0,5 m/s – за тежка физическа работа.
(2) Допустимите гранични стойности за скорост на движение на въздуха на постоянни работни места през топлия период на годината:
1. в помещения с незначително топлинно натоварване са:
а) до 0,5 m/s – за лека и средно тежка физическа работа;
б) до 0,7 m/s – за тежка физическа работа;
2. в помещения със значително топлинно натоварване са:
а) до 0,5 m/s – за лека и средно тежка физическа работа;
б) до 1,0 m/s – за тежка физическа работа.
Чл. 12. (1) Допустимите гранични стойности за относителна влажност на въздуха на постоянни работни места през студения период на годината са в интервала от 30 % до 75 %.
(2) Допустимите гранични стойности за относителна влажност на въздуха на постоянни работни места през топлия период на годината са:
1. от 30 до 55 % – при температура на въздуха в помещението t > 28 °С;
2. от 30 до 60 % – при температура на въздуха в помещението 26°С < t ≤ 28 °С;
3. от 30 до 65 % – при температура на въздуха в помещението 25°С < t ≤ 26 °С;
4. от 30 до 70 % – при температура на въздуха в помещението 24 °С < t ≤ 25 °С;
5. от 30 до 75 % – при температура на въздуха в помещението t ≤ 24 °С.
(3) При абсолютна влажност на външния въздух над 12 g/kg се допуска превишаване на горните граници на допустимите гранични стойности по ал. 2 с не повече от 15 %.
(4) На постоянни работни места в помещения със значително отделяне на влага се допуска през топлия период на годината повишаване на допустимата относителна влажност на въздуха до 75 %. Температурата на въздуха на тези работни места не трябва да превишава 28 °С за работа с лека и средна тежест и 26 °С за тежка работа независимо от температурата на външния въздух.
Чл. 13. (1) Допустимата гранична стойност за плътност на потока на топлинно облъчване за постоянни работни места е 350 W/m2.
(2) Допуска се пребиваване в работните зони на непостоянни работни места с топлинно облъчване с плътност на потока над 350 W/m2само при задължително използване на средства за колективна защита или лични предпазни средства за защита от инфрачервено лъчение.
Раздел III
Задължения на работодателя
Задължения на работодателя
Чл. 14. (1) Работодателят е длъжен да оцени риска за здравето и безопасността на работещите от параметрите на микроклимата на работни места в сгради или от неблагоприятните климатични въздействия при работа на открито и когато е необходимо, да направи съответните измервания. Необходимостта от измервания се определя след консултации с представителите на работниците и служителите по чл. 7, ал. 2 от Кодекса на труда и с комитета/групата по условия на труд.
(2) Рискът за здравето и безопасността на работещите се оценява съгласно Наредба № 5 от 1999 г. за реда, начина и периодичността на извършване на оценка на риска (ДВ, бр. 47 от 1999 г.).
(3) Необходимите измервания на параметрите на микроклимата на работни места в сгради се извършват по реда на чл. 217 от Наредба № 7 от 1999 г. за минималните изисквания за здравословни и безопасни условия на труд на работните места и при използване на работното оборудване (ДВ, бр. 88 от 1999 г.; изм., бр. 48 от 2000 г., бр. 52 от 2001 г.; изм. и доп., бр. 43 от 2003 г.; изм., бр. 37 от 2004 г.; изм. и доп., бр. 88 от 2004 г., бр. 40 от 2008 г. и бр. 24 от 2013 г.).
(4) Методите и апаратурата, които се използват за измерване нивата на параметрите на микроклимата на работните места в сгради, трябва:
1. да отговарят на техническите и метрологичните изисквания към тях съгласно Закона за измерванията;
2. да осигуряват измерване на параметрите на микроклимата в обхват, посочен в инструкциите на производителя и включващ оптималните и допустимите норми;
3. да отговарят на определените от производителя условия за използване, вкл. климатичните, механичните и електромагнитните, както и на изискванията за пожаро- и взривоопасност в съответствие с класа на функционална пожарна опасност на сградата или на части от нея.
Чл. 15. (1) Измерванията на температурата, влажността и скоростта на движение на въздуха на работните места се извършват най-малко в два последователни дни съответно през топлия и през студения период на годината.
(2) Допуска се измерванията по ал. 1 да се извършват в един ден, но при най-неблагоприятни микроклиматични условия, когато:
1. спецификата на производствения процес или режимът на работа не позволяват измерванията да се извършат в два последователни дни;
2. при обичайните работни условия и организация на производствения процес не се очаква промяна на параметрите на микроклимата в два последователни дни.
(3) Работните места в дадено работно помещение, в което ще се извършват измерванията по ал. 1, се определят в зависимост от типа на оборудването и разположението на работните места спрямо преградните стени на помещението (прозорци, врати и др.), както и спрямо източниците на топлина, влага и въздушни течения в помещението.
(4) Когато работните места не са с еднотипно оборудване и не са с едно и също разположение спрямо преградните стени на помещението и източниците на топлина, влага и въздушни течения, измерванията се извършват за всяко работно място поотделно.
(5) Когато работните помещения са с еднакво изложение, а работни места в тях са с еднотипно оборудване и с едно и също разположение спрямо преградните стени на помещението и източниците на топлина, влага и въздушни течения, измерванията могат да се извършват само в едно от тези работни помещения/места, като резултатите от измерванията се приемат за валидни за всички работни помещения/места от същия тип.
Чл. 16. (1) Измерванията на всеки от параметрите – температура, влажност и скорост на движение на въздуха, на определените постоянни и непостоянни работни места се извършват през равни интервали от време в зависимост от характера на работния процес или от особеностите на работното място, като интервалът между първото и последното измерване за деня не трябва да бъде по-малък от половината от установената продължителност на работното време, а броят им най-малко 3.
(2) Измерванията по ал. 1 през топлия и студения период на годината се извършват така, че да се обхванат най-неблагоприятните микроклиматични условия. Тези условия се определят след консултации с представителите на работниците и служителите по чл. 7, ал. 2 от Кодекса на труда и с комитета/групата по условия на труд.
(3) За определяне на максималните гранични стойности на температурата през топлия период на годината се провежда и допълнително измерване на температурата на външния въздух в 14.00 h в точка, разположена на сянка откъм подветрената страна на сградата, на разстояние не по-малко от 2 m от нея и на височина 1,50 m от земната повърхност.
Чл. 17. (1) Измерване на плътността на потока на топлинно облъчване се извършва само когато в работното помещение има източници на явна топлина.
(2) Измерването на плътността на потока на топлинно облъчване се извършва на три нива, съответстващи приблизително на главата, гърдите и коленете на работника или служителя, като обхваща периода от работната смяна (работния ден), в които се достига максимално топлинно облъчване на работното място.
(3) Датчикът на уреда за измерване трябва да се разполага на работното място (точката на измерване) и да бъде ориентиран към източника на топлинно излъчване с оглед получаване на максимални показания на уреда.
(4) За краен резултат от измерването на плътността на потока на топлинно облъчване на определеното работно място се приема най-голямата стойност, получена чрез осредняване на резултатите от измерванията на трите нива.
Чл. 18. (1) Резултатите от измерванията на параметрите на микроклимата на работни места се изчисляват поотделно за всяко определено за измерване работно място.
(2) Окончателните резултати за стойностите на температурата (t), относителната влажност (φ) и скоростта на движение на въздуха (v) се определят по формулите:

където X1, X2......., Xn са измерените стойности на съответния параметър;
Xmin – минималната гранична стойност на параметъра X;
Xmax – максималната гранична стойност на параметъра X;
n – общият брой на измерванията на съответния параметър (температура, относителна влажност и скорост на движение на въздуха), извършени на определеното за измерване работно място за съответния период на годината;
S – средното квадратично отклонение на съответния параметър.
(3) Получените съгласно ал. 2 интервали (tmin; tmax), (φmin; φmax) и (vmin; vmax) са окончателните резултати от измерванията.
(4) Окончателните резултати от измерванията се сравняват поотделно с оптималните или допустимите гранични стойности, определени в раздел II, за всяко определено за измерване работно място и период на годината.
(5) Температурата, относителната влажност и скоростта на движение на въздуха на дадено работно място за определен период на годината отговарят на граничните стойности за микроклимат на работното място, когато окончателните резултати от измерванията по ал. 3 и на трите параметъра отговарят на съответните оптимални или допустими гранични стойности, определени в раздел II.
(6) Плътността на потока на топлинно облъчване отговаря на граничните стойности за микроклимат на работното място, когато стойността съгласно чл. 17, ал. 4 е по-малка от допустимата норма съгласно чл. 13, ал. 1.
Чл. 19. За резултатите от измерванията се съставя протокол, който съдържа данни за:
1. името на предприятието;
2. характеристиките на работния процес;
3. категорията на работата;
4. организацията на работното време – нормална продължителност на работното време, намалено или непълно работно време, работа на смени, в т.ч. непрекъсваем процес на работа;
5. основните професии, общия брой работни места и броя на изследваните работни места по професии;
6. източниците на явна топлина и на значително отделяне на влага – свързани и несвързани с технологичния процес;
7. отоплителните, вентилационните и климатичните съоръжения;
8. дата и час на извършените измервания, вкл. данни за температурата на външния въздух съгласно чл. 16, ал. 3, и за абсолютната влажност;
9. типа и идентификационния номер на използваните средства за измерване;
10. окончателните резултати от измерванията съгласно чл. 17, ал. 4 и чл. 18, ал. 3;
11. оптималните и/или допустимите гранични стойности по работни места съгласно раздел II;
12. оценка за съответствието на окончателните резултати от измерванията с оптималните или допустимите гранични стойности съгласно чл. 18, ал. 5 и 6;
13. дата, имена и подписи на длъжностните лица, участвали в измерванията.
Чл. 20. (1) При оценяването на риска от параметрите на микроклимата на работни места в сгради се отделя специално внимание на:
1. съответствието на окончателните резултати от измерванията с оптималните или допустимите гранични стойности на параметрите на микроклимата;
2. броя на работните места и типа на работното оборудване в работното помещение, вкл. тяхното разположение спрямо преградните стени на помещението и източниците на топлина, влага и въздушни течения;
3. всеки ефект върху здравето и безопасността на работещите, който е резултат от взаимодействието между отделните параметри на микроклимата;
4. всеки ефект за здравето и безопасността за работещи, които се нуждаят от специална закрила, вкл. и тези с ограничена работоспособност, нарушена терморегулация, бременни жени и кърмачки, трудоустроени работещи и др.;
5. всяко въздействие върху здравето и безопасността на работещия, произтичащо от категорията работа;
6. потенциалното въздействие на източниците на топлина и влага – свързани и несвързани с технологичния процес върху параметрите на микроклимата;
7. информацията от производителите за техническите параметри на отоплителните, вентилационните и климатичните съоръжения;
8. информацията за топлинно излъчване, предоставена от производителите на работното оборудване, в съответствие с изискванията на Закона за техническите изисквания към продуктите и подзаконовите нормативни актове към него;
9. наличието на лични предпазни средства, в т. ч. специално работно облекло за защита на работещите от въздействието на параметрите на микроклимата на работни места в сгради.
(2) Оценката на риска от неблагоприятните климатични въздействия върху здравето и безопасността на работещите при работа на открито се извършва, като се вземат предвид рисковете от температура, слънчева радиация, валежи, мъгли и вятър, като се отделя специално внимание на тяхното комбинирано въздействие, както и на:
1. категорията на работата;
2. наличието на лични предпазни средства, в т. ч. специално работно облекло с подходящи характеристики за намаляване на риска;
3. необходимостта от лични предпазни средства, в т. ч. специално работно облекло за защита от други фактори на работната среда, използването на които може да наруши нормалната адаптация на организма към климатичните условия;
4. наличието на места за почивка с подходящи условия за възстановяване на топлинния баланс на организма.
(3) Оценката на риска се документира и преразглежда по реда на наредбата по чл. 14, ал. 2, както и въз основа на резултатите от здравното наблюдение на работещите.
Чл. 21. (1) Работодателят е длъжен да разработи и приложи технически и/или организационни мерки за защита на работещите, когато:
1. при оценката на риска по чл. 20, ал. 1 се установи, че резултатите от измерванията на параметрите на микроклимата не съответстват на установените оптимални или допустими гранични стойности;
2. при оценката на риска по чл. 20, ал. 2 се установи, че съществува риск от слънчев/топлинен удар, преохлаждане и измръзване и др.
(2) Мерките по ал. 1 могат да включват:
1. други методи на работа, при които отделяните топлина, влага и въздушни течения са с по-ниски нива;
2. избор на подходящо работно оборудване, излъчващо възможно най-малко топлина, вкл. осигуряване на работно оборудване, произведено съгласно изискванията на Закона за техническите изисквания към продуктите, с оглед ограничаване на топлинното излъчване;
3. създаване на подходяща организация на работния процес и/или работното време, вкл. осигуряване на почивки с подходяща честота и продължителност;
4. създаване на подходяща организация на работните места;
5. осигуряване на колективни средства за защита:
а) от неблагоприятно въздействие на параметрите на микроклимата, като климатизация, вентилация, защитни прегради, изолации, екрани и др.;
б) при работа на открито, особено по отношение на риска от слънчев/топлинен удар, преохлаждане, измръзване и др.;
6. осигуряване на подходящи лични предпазни средства, в т.ч. специално работно облекло съгласно Наредба № 3 от 2001 г. за минималните изисквания за безопасност и опазване на здравето на работещите при използване на лични предпазни средства на работното място (обн., ДВ, бр. 46 от 2001 г.; изм. и доп., бр. 40 от 2008 г.);
7. осигуряване на подходящо работно облекло съгласно Наредбата за безплатното работно и униформено облекло, приета с ПМС № 10 от 2011 г. (ДВ, бр. 9 от 2011 г.);
8. осигуряване на места за почивка с подходящи условия за възстановяване на топлинния баланс на организма;
9. достатъчно количество питейна вода, както и топли и студени напитки и други течности за възстановяване на водно-солевия и топлинния баланс на организма;
10. осигуряване на наблюдение или средства за комуникация за работещите на открито на изолирани работни места;
11. осигуряване на долекарска и първа медицинска помощ, както и подходящо транспортиране на работещите с внезапно влошено здравословно състояние за оказване на медицинска помощ.
(3) Когато рискът за здравето и безопасността на работещите не може да бъде предотвратен чрез мерките по ал. 2, работодателят разработва и въвежда физиологични режими на труд и почивка по време на работа съгласно Наредба № 15 от 1999 г. за условията, реда и изискванията за разработване и въвеждане на физиологични режими на труд и почивка по време на работа (ДВ, бр. 54 от 1999 г.).
Чл. 22. (1) Работата на открито се преустановява при опасно ниски или високи температури, гръмотевични бури, обилен валеж, силен вятър и гъста мъгла, определени с код „оранжево“ или „червено“ от Националния институт по метеорология и хидрология, ако създават заплаха за живота и здравето на работещите и за безопасното изпълнение на трудовата дейност.
(2) Работата на открито при условията на ал. 1 може да не се преустанови по изключение само в следните случаи:
1. за извършване на работа във връзка с отбраната на страната;
2. за предотвратяване на бедствия и аварии и за овладяване и преодоляване на последиците от тях;
3. за извършване на неотложни обществено необходими работи по възстановяване на водоснабдяването, електроснабдяването, отоплението, канализацията, транспорта и съобщителните връзки и оказване на медицинска помощ.
Допълнителна разпоредба
1. По смисъла на тази наредба:
1. „Постоянно работно място“ е мястото, където се предвижда извършването на работата в помещения или на което и да е място на територията на предприятието, или до което работещият има достъп във връзка с изпълняваната работа за повече от половината от законоустановеното работно време.
2. „Помещения с незначително топлинно натоварване“ са помещенията, в които остатъчното количество явна топлина не е по-голямо от 23 W/m-3.
3. „Помещения със значително топлинно натоварване“ са помещенията, в които остатъчното количество явна топлина е по-голямо от 23 W/m-3.
4. „Климатизирано помещение“ е помещение, в което климатичната инсталация е проектирана за централизирано поддържане на температурата и влажността на въздуха. Помещениe, в коeто параметрите на микроклимата са определени от личния избор на работещите, не може да се счита за климатизирано и за него не се прилагат оптималните гранични стойности.
5. „Източници на явна топлина“ са производствени технологични съоръжения (всички видове пещи, сушилни агрегати, нагревни котли, фурни и др.), нагрети материали (разтопен и разкален метал, нагрети материали и детайли), инсталации, пренасящи нагрят флуид, и други източници, които влияят върху температурата на помещението. Инсталациите и монтираните отоплителни тела за осигуряване на параметрите на микроклимата в работните помещения не са източници на явна топлина.
6. „Категория на работата“ е работа според степента на физическото натоварване на организма:
а) „лека физическа работа“ е работата, която се извършва в седнало положение, в стоящо положение или в движение, но не изисква системно физическо напрежение или повдигане и пренасяне на тежести при енергоразход до 210 W;
б) „средно тежка физическа работа“ е работата, свързана с постоянно ходене, пренасяне на неголеми тежести (до 10 kg) и дейности, които се извършват непрекъснато в стоящо положение при енергоразход от 210 W до 350 W;
в) „тежка физическа работа“ е работата, свързана със системно физическо натоварване, с постоянно придвижване и пренасяне на значителни (повече от 10 kg) тежести при енергоразход над 350 W.
7. „Топъл период“ е периодът от годината, който се характеризира със средноденонощна температура на външния въздух 10 °С и повече.
8. „Студен период“ е периодът от годината, който се характеризира със средноденонощна температура на външния въздух, по-ниска от 10 °С.
Преходни и заключителни разпоредби
§ 2. Протоколите за резултатите от измерванията на параметрите на микроклимата на работни места в сгради, съставени в съответствие с БДС 14776-87 Охрана на труда. Работни места в производствени помещения. Санитарно-хигиенни норми за температура, относителна влажност, скорост на въздуха и топлинно облъчване и БДС 16686-87 Охрана на труда. Методи за измерване на температурата, относителната влажност и скоростта на движение на въздуха в работните помещения на сградите от звена и специалисти на работодателя и/или от лица, акредитирани от Изпълнителна агенция „Българска служба за акредитация“, важат, доколкото не противоречат на нормите в тази наредба.
§ 3. Наредбата се издава на основание чл. 36, т. 2 от Закона за здравословни и безопасни условия на труд.
§ 4. Наредбата влиза в сила три месеца след обнародването й в „Държавен вестник“.
Министър на труда и социалната политика: Хасан Адемов
Министър на здравеопазването: Таня Андреева
източник: mlsp.government.bg
Подобни статии
21Юли2021
Може ли да се наложи унифициран дрескод на работното място
от доц. д-р Андрей Александров
21 Юли 2021
08Апр2021
10 често поставяни въпроса от работодателите във връзка с ваксинацията срещу COVID-19
от PortalTRZnormativi.bg
08 Апр 2021
13Апр2020
Работа от вкъщи или на работното място – правни проблеми възникват и при двете форми на полагане на труд
от доц. д-р Андрей Александров
13 Апр 2020
05Септ2019
Наредба 13 за защита на работещите от рискове, свързани с експозиция на химични агенти при работа
от PortalTRZnormativi.bg
05 Септ 2019
29Авг2019
Наредба 5 за реда, начина и периодичността на извършване на оценка на риска
от PortalTRZnormativi.bg
29 Авг 2019