Наредба 69 за техническите лихвени проценти по чл. 169, ал. 1, т. 3 и ал. 8, т. 3 от КСО и формулите за изчисляване на допълнителните пожизнени пенсии за старост
Отговор, предоставен отPortalTRZnormativi.bg
.jpg)
В брой 53-ти от 22-ри юни 2021 г. на Държавен вестник е обнародвана:
Наредба № 69 от 15 юни 2021 г. за техническите лихвени проценти по чл. 169, ал. 1, т. 3 и ал. 8, т. 3 от Кодекса за социално осигуряване и формулите за изчисляване на допълнителните пожизнени пенсии за старост
Чл. 1. С наредбата се определят:
1. изискванията към техническите лихвени проценти по чл. 169, ал. 1, т. 3 и ал. 8, т. 3 от Кодекса за социално осигуряване (КСО) и максималният им размер;
2. формулите за изчисляване по реда на чл. 169, ал. 1 и 4 от КСО на допълнителните пожизнени пенсии за старост по чл. 167, ал. 4 от КСО.
Чл. 2. (1) Техническият лихвен процент за определяне на допълнителната пожизнена пенсия за старост не може да бъде по-висок от дългосрочния лихвен процент за оценка на степента на конвергенция (месечни данни), публикуван от Българската народна банка, усреднен за последните седем години.
(2) Техническият лихвен процент за определяне на срочната професионална пенсия за ранно пенсиониране не може да бъде по-висок от 150 на сто от дългосрочния лихвен процент за оценка на степента на конвергенция (месечни данни), публикуван от Българската народна банка, усреднен за последните седем години.
(3) При определянето на техническите лихвени проценти по ал. 1 или 2 през първото шестмесечие на годината се прилага максимален размер, изчислен въз основа на данните за дългосрочния лихвен процент за оценка на степента на конвергенция към 30 септември на предходната година, а през второто шестмесечие – въз основа на данните към 31 март на текущата година.
(4) Конкретните размери на техническите лихвени проценти по ал. 1 и 2 се определят на базата на принципа за предпазливост и при съблюдаване на изискванията на чл. 169, ал. 9 от КСО. Когато определеният по ал. 1 или 2 максимален размер е отрицателна величина, съответният технически лихвен процент се определя в размер 0 %.
Чл. 3. (1) Допълнителната пожизнена пенсия за старост без допълнителни условия се изчислява по следната формула:

където:
P е размер на пенсията;
S – размер на средствата, от които се изчислява пенсията, определен по ал. 4 или 5;

когато първата пенсия се дължи за месеца на сключване на пенсионния договор или за месец преди него;

когато първата пенсия се дължи за месеца, следващ месеца на сключване на пенсионния договор;

когато първата пенсия се дължи за месец след месеца, следващ месеца на сключване на пенсионния договор;
х – възраст на лицето в цели години към датата на сключване на пенсионния договор, закръглена нагоре при навършени шест или повече месеца след последната цяла година;
x+d – възраст на лицето в цели години към първо число на месеца, за който се дължи първото плащане, закръглена нагоре при навършени шест или повече месеца след последната цяла година;
k – брой дължими плащания към датата на сключване на пенсионния договор;
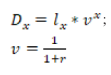
Dx – дисконтирани числа, представляващи настоящата стойност на бъдещите преживели лица на възраст х след прилагането на одобрения технически лихвен процент:

r – технически лихвен процент, одобрен по реда на чл. 169, ал. 9 – 12 от КСО;
lx – брой на преживелите лица на възраст х, съгласно таблицата за смъртност и средна продължителност на предстоящия живот по чл. 169, ал. 1, т. 2 от КСО:

pi – вероятности за преживяване от таблицата за смъртност;
l0 – възприет начален брой лица на възраст 0 в хипотетичната кохорта на таблицата за смъртност;
Dx+d – дисконтирани числа, представляващи настоящата стойност на бъдещите преживели лица на възраст х+d след прилагането на одобрения технически лихвен процент, като формулата за Dх се прилага съответно;
Nx – комутативни числа, представляващи сума на дисконтираните числа на преживелите лица от възраст х до максималната възраст в таблицата за смъртност:

max – максималната възраст в таблицата за смъртност;
Nx+d – комутативни числа, представляващи сума на дисконтираните числа на преживелите лица от възраст х+d до максималната възраст в таблицата за смъртност, като формулата за Nх се прилага съответно.
(2) Допълнителната пожизнена пенсия за старост с период на гарантирано изплащане се изчислява по следната формула:

където:
P е размер на пенсията;

когато първата пенсия се дължи за месеца на сключване на пенсионния договор или за месец преди него и техническият лихвен процент (r) надвишава 0;

когато първата пенсия се дължи за месеца, следващ месеца на сключване на пенсионния договор и техническият лихвен процент (r) надвишава 0;

когато първата пенсия се дължи за месец след месеца, следващ месеца на сключване на пенсионния договор и техническият лихвен процент (r) надвишава 0;
.png)
когато техническият лихвен процент (r) е 0;
k – брой дължими плащания към датата на сключване на пенсионния договор или брой месеци, с които се отлага плащането, което е приложимо;
x+d – възраст на лицето в цели години към първо число на месеца, за който се дължи първото плащане след изтичане на гарантирания период, закръглена нагоре при навършени шест или повече месеца след последната цяла година;
n – гарантиран период (в години);
Показателите r, x, S, Nx, Nx+d, Dx, Dx+d и v се определят съобразно ал. 1.
(3) Допълнителната пожизнена пенсия за старост, включваща разсрочено изплащане на част от средствата до навършване на избрана от пенсионера възраст, се изчислява по следната формула:

където:
P e размер на пенсията;
Тi – дисконтиран размер на i-тото плащане с дисконтиращ фактор ν, като плащанията, дължими към датата на сключване на пенсионния договор, не се дисконтират:

Нi – размер на i-тото плащане;
bi – брой месеци от датата на сключване на пенсионния договор до i-тото плащане;
m – брой разсрочени плащания съобразно договореното с лицето;

x+d – възраст на лицето в цели години към първо число на месеца, за който се дължи първото пожизнено плащане, закръглена нагоре при навършени шест или повече месеца след последната цяла година;
Показателите S, x, ν, Nx, Nx+d, Dx и Dx+d се определят съобразно ал. 1.
(4) Когато се гарантира размерът на пенсията въз основа брутния размер на преведените осигурителни вноски, размерът на средствата, от които се изчислява пенсията (S), e равен на средствата по индивидуалната партида, изчислени съобразно чл. 131 от КСО към датата на сключване на пенсионния договор.
(5) Когато се гарантира размерът на пенсията въз основа на натрупаните средства по индивидуалната партида на лицето по реда на чл. 169, ал. 4 от КСО, размерът на средствата, от които се изчислява пенсията (S), се определя по следната формула:
S = Z*(1-R)
Z – натрупани средства по индивидуалната партида на лицето към датата на сключване на пенсионния договор;
R – рисков коефициент, определен и одобрен по реда на чл. 169, ал. 5 – 7 от КСО.
Заключителна разпоредба
Параграф единствен. Наредбата се издава на основание чл. 169, ал. 14 от КСО и е приета с Решение № 217-Н от 15.06.2021 г. на Комисията за финансов надзор.
Председател: Бойко Атанасов
източник: dv.parliament.bg
Подобни статии
28Окт2022
Инструкция за допълнение на Инструкция 13 от 31.10.2000 г. за прилагане на Наредбата за категоризиране на труда при пенсиониране
от PortalTRZnormativi.bg
28 Окт 2022
05Юли2022
Постановление 147 от 1 юли 2022 г. за определяне на нов размер на социалната пенсия за старост
от PortalTRZnormativi.bg
05 Юли 2022
14Юни2022
Промени в Наредбата за пенсиите и осигурителния стаж
от PortalTRZnormativi.bg
14 Юни 2022
29Дек2021
Постановление 451 от 22 декември 2021 г. за определяне на нов размер на социалната пенсия за старост
от PortalTRZnormativi.bg
29 Дек 2021