Same Or Different

Task 18 ... Years 4 - 12

Summary

This is a game for two players. They place a number of blocks (two colours only) into a bag, then close their eyes and choose one block each. In advance it has been decided that one player will get a point if the chosen blocks are the same colour and the other gets a point if the blocks are a different colour.

Clearly there would be an unfair advantage to one player for some combinations of colours in the bag, eg: (6,1). The problem is:

Which combinations of colours produce a fair game?
and students are told there are two fair games using any mixes of colours up to (6,6)

This cameo has a From The Classroom section with two stories from the same teacher. The first describes an adventure undertaken by a Year 11 Maths Methods class that asked the question What happens if we use more than two colours? Can we still get a fair game?. The second describes how Year 12 students at the same school, but in a different year, connected the Same Or Different problem to a totally different problem experienced in Year 11. In both stories their teacher, Damian Howison, made use of Interactive White Board slides and spreadsheets. He has shared some of these for other teachers to use.

 

Materials

  • Twelve cubes - 6 in each of two colours
  • A bag or other container for hiding the blocks

Content

  • chance - simple probability
  • long run frequency
  • conditional probability
  • concept of 'fairness'
  • statistical inference from data
  • sample size and intuitive levels of confidence
  • recognition of all possible outcomes (sample space)
  • generalisation - recognition of triangle number patterns
  • combinations function
  • complementary probability
    Pr (A') = 1 - Pr(A)
Same or Different

Iceberg

A task is the tip of a learning iceberg. There is always more to a task than is recorded on the card.
   

  • How do we decide if a game is fair?

    If by experiment we would expect about an equal number of points for each player, but how many experiments is enough to decide this 'equality'?

    If by symbolic reasoning, eg: for the (3,1) game, what equations can be written for other combinations.

    Let (3,1) stand for a bag with 3 Red and 1 Blue, then
    Pr (SAME) = Pr (RR) + Pr (BB)
    = 3/4 x 2/3 + 1/4 x 0/3
    3 ways to choose the first red block from the 4 blocks in the bag followed by 2 ways to select the second red block from the remaining 3 blocks
    +
    1 way to choose the first blue block from the 4 blocks in the bag followed by 0 ways to choose the second blue block from the remaining 3 blocks because they would all be red.
    = 6/12
    = 1/2

    Pr (DIFFERENT) = Pr (RB) + Pr (BR)
    = 3/4 x 1/3 + 1/4 x 3/3
    = 3/12 + 3/12
    = 6/12
    = 1/2
    So, (3,1) is a fair game and analysing other likely combinations in the same way reveals (6,3) is the other fair game up to (6,6).

  • If there are two fair games using blocks up to (6,6) are there more if we use more blocks?
  • List the combinations which make fair games. Is there any pattern in this data? Can it be used to predict other fair games?

Whole Class Investigation

Tasks are an invitation for two students to work like a mathematician. Tasks can also be modified to become whole class investigations which model how a mathematician works.
   

For more ideas and discussion about this investigation, open a new browser tab (or page) and visit Maths300 Lesson 153, Same Or Different. It extends the investigation with companion software and, rather unexpectedly, shows that the search for fair games produces a set of triangle numbers with the result governed by the discriminant of a quadratic and the fact that (8 x triangle number) + 1 = square number. You will need multiple sets of blocks and one bag or container per group.

Is it in Maths With Attitude?

Maths With Attitude is a set of hands-on learning kits available from Years 3-10 which structure the use of tasks and whole class investigations into a week by week planner.
   

The Same Or Different task is an integral part of:

  • MWA Chance & Measurement Years 3 & 4
  • MWA Chance & Measurement Years 9 & 10

The Same Or Different lesson is an integral part of:

  • MWA Chance & Measurement Years 9 & 10

From The Classroom

St. Mary MacKillop College
Swan Hill

Damian has contributed two stories about using Same Or Different in its whole class investigation life. (See Three Lives of a Task). The first is from his Year 11 Maths Methods class. This story is about mathematicians asking the question What happens if...? then taking an adventure together when even the teacher doesn't know the end point.
In the second story, which follows below, Damian used Same Or Different with his Year 12 class. He was impressed that they suggested using a tool developed for a totally different investigation a year earlier in Year 11.
Damian Howison
Year 11 Maths Methods
G'day Doug,
We have been doing some more work with Same or Different - this time with a Year 11 Maths Methods class.

Again, we made use of combinations (nCr) to calculate probabilities, and we used spreadsheets to hurry up our calculations and facilitate our search. But this time we were asking the question - if you had three colours, could you still have a perfectly fair game? And then what about four colours? five? etc...

With our spreadsheets we began a search as a whole class and fairly quickly came up with some really satisfying answers to our questions, revealing many patterns.

My class was pretty excited because I told them that this part of the iceberg was all new to me, that we were exploring new territory, at least at this school. So I told them that I knew of someone who just might be interested in knowing what we were up to (that's you). That made them pretty pleased.

What's more, they are sitting their semester exam tomorrow and I was able to use this task and our exploration as a context for some of the questions about probability and combinatorics.

Here are some of the conjectures that arose from our playing around:
  1. You can have three colours, four colours, five, any number of colours.

  2. Each combination of colours must begin with two consecutive triangle numbers, as do the combinations of two colours.

  3. To get the number of blocks needed for a third colour, one pattern is to add the two triangle numbers used, double that, and add one.

    For example, if you have the fair game of 3 red blocks and 6 blue blocks and you want to add some green blocks then 2x(3 + 6) + 1 = 19 will tell you that you must add exactly 19 green blocks to keep the game perfectly fair.

  4. There are two ways to find the number of blocks for other colours you want to add after the third.
    1. You can take the total number of blocks used so far, double it, and add one (same as above).
    2. You can multiply the last number by 3.

    For example you could add 2x(3 + 6 + 19) + 1 = 57 orange blocks, and then 2x(3 + 6 + 19 + 57) + 1 = 171 purple blocks.
    Or you could do it this way: 19*3 = 57 orange blocks, and 57*3 = 171 purple blocks.

  5. The very first possible sequence of numbers you can have is unique in that it is the sequence of powers of 3: 1, 3, 9, 27, 81, ... , 3(n-1) if you have n different colours.
So lots of really rich mathematics - all hinging on the basic probability formula of n(successful outcomes)/n(total outcomes), and employing the nCr calculation.
The learners found the mathematics pretty fascinating - a little foray into the unknown, the discovery of some intriguing patterns and the ability to apply something recently learned. And the door is still open for next time - what if you were to take out three blocks at a time? Does there exist a perfectly fair game for this case?
I've attached some whiteboard slides and the spreadsheets - there are two pages; one for exploring and another for demonstrating the pattern. The exploring page sets the students up to hunt for the solutions. I did show the class how to make the sheet in the first place, so they actually used their own, although this one here could easily have been made available for them. I suppose it helped the students to see for themselves how the probability theory and combinatorics were embedded in the worksheet.

The pattern sheet, which is called Solutions, does nothing other than demonstrate use of the patterns that were found to generate solutions for a 6-colour game. If you start with any positive integer then it will generate a solution. For example N=3 will start with the third triangular number and go from there.

Damian has provided these resources freely in the spirit of encouraging more classes to learn to work like a mathematician. Use them as you wish, but please acknowledge Damian's work whenever you do.

Green Line

St. Mary MacKillop College
Swan Hill

Damian Howison
Upper Secondary School
Damian reports on a 'tweak' to this investigation that developed when using it at the top level of Secondary School. The images were exported directly from the classroom Interactive White Board and suggest how the lesson developed.
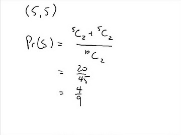
I used the task in my Year 12 Methods class last week and we had a good time with it. In particular we used simple line diagrams to show the probabilities and this naturally lead to using the Combinations Function for calculating the probabilities (incidentally we derived the combinations function last year using Task 129, Farmyard Friends).
Using the combinations approach made it straightforward to search for fair games on Excel using COMBIN. The pattern 1, 3, 6, 10 came off the screen and one student recognised these numbers as 2C2, 3C2, 4C2, 5C2...

This suggested that one solution for a fair game was the general case of ( NC2, (N+1)C2 ).

And because of the combinations relationship with Pascal's Triangle, this sequence is also one of the diagonals of the triangle!

So as you can imagine, it was a wonderful little lesson of discovery - the best type where I the teacher learn just as much as the students.
Damian has also given us his class's spreadsheet
to share with all Same Or Different users.
Spreadsheet: Year 12 Mathematics Methods

Green Line

Another Thought

  • What happens if we extend the spreadsheet to its limit, say 250 red and 250 blue blocks?
Download Damian's sheet and try it.

... (experiment here)

At the bottom right end of the rows and columns it looks like the image below.

It seems there are two ways to find fair games:

  1. Sequential triangle numbers (TN, TN+ 1) that give exactly a probability of 0·5 for selecting either same or different for any value of N.
  2. (N, ~N) where ~N = values close to N.
    As N gets larger the probabilities approach 0·5 as seen by the main diagonal in the spreadsheet:
    0·333, 0·400, 0·429, ... 0·485, ... 0·490, ... 0·498, ... 0·499 ...
    suggesting that the limit as N approaches infinity of:
    2 x (NC2) / (2N)C2 = 0·5
    (see Slide 3 above).
There's a lot more Year 12 work lurking here than might be apparent at first glance.
Green Line
Follow this link to Task Centre Home page.