|
Number Shapes
Years 1 - 8
|

An activity for one player with a calculator ... An adult is needed to introduce the activity to younger children.
Older learners are invited to read through this page, and find out how to challenge themselves.
Preparation
- One calculator (there's one on your phone)
- Plenty of paper and an appropriate pen, pencil or marker for the age
- Write the title of this challenge and today's date on a fresh page in your maths journal.
When the activity is over the Number Shapes should be cut out and stuck into your journal.
How To Play Number Shapes
 |
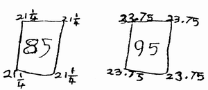
- Draw a square (or any polygon shape).
- Write a number inside it.
- Write a number at each corner of the square so that the four 'corner' numbers add up to the number in the square.
The calculator can be used to help you in any way you want.
The photos are examples from Year 1/2 at St. Patrick's, Bega. |
|
You might wonder about the photo on the left.
50 + 40 + 1 doesn't equal 100. But perhaps something deeper is happening.
Perhaps the learner first used 5, 4 and 1 around the triangle to make 5 + 4 + 1 = 10 and then started exploring along the lines of What happens if we use 50 instead of 5?, but hadn't quite finished changing the equation when the photo was taken.
But it doesn't matter. Checking with the calculator now will produce far more learning than an adult ticking or crossing.
The calculator is more likely to produce a response such as Oops silly me. I left off the zero.
That's all there is to the structure of this activity. Every time you change the shape or the inside number you have a new challenge.
Have fun exploring Number Shapes.
We suggest it is used at least three (3) times a week for about fifteen (15) minutes over several weeks.
What makes it even more interesting, especially for older learners, is questions like:
- What happens if ... the corner numbers can be negative?
- What happens if ... the corner numbers have to be the same?
- What happens if ... we start with a more than one shape and write the middle numbers in a pattern?
- What happens if ... the numbers at the corners have to multiply together to make the number in the middle?
There are more ideas in the Answers & Discussion.
Just Before You Finish
- Cut out today's number shapes and stick them in your journal.
- Choose the one you think is your best for today and write about what it taught you.
Answers & Discussion
These notes were originally written for teachers. We have included them to support parents to help their child learn from Ten Friends.
Send any comments or photos about this activity and we can start a gallery here.

Maths At Home is a division of Mathematics Centre
|